Ressource

Umfassende Technologiedaten

Lysozym- Wirkmechanismus und seine breit gefächerten Anwendungen

Lysozym, ein natürlich vorkommendes antimikrobielles Enzym, spielt eine entscheidende Rolle in der angeborenen Immunität verschiedenster Organismen, darunter Menschen, Tiere und Pflanzen. Dieser Artikel beleuchtet den enzymatischen Mechanismus von Lysozym sowie dessen antibakterielle, antivirale, entzündungshemmende und immunmodulatorische Effekte. Diese Eigenschaften haben zu seiner breiten Anwendung in der Pharmaindustrie, Lebensmittelkonservierung, Veterinärmedizin, Tierernährung und Biotechnologie geführt.

Als spezialisierter Enzym-Lieferant mit Engagement für biotechnologische Innovation und Qualität bietet Creative Enzymes hochreine Lysozym-Produkte, die auf die sich wandelnden Bedürfnisse von Branchen wie Lebensmittel, Futtermittel, Pharmazeutika und Körperpflege zugeschnitten sind.

Historische Perspektive und Strukturelle Übersicht

Lysozym (EC 3.2.1.17) wurde unabhängig voneinander von Laschtschenko im Jahr 1909 und von Alexander Fleming im Jahr 1922 entdeckt. Fleming beobachtete, dass Nasensekrete und Hühnereiweiß Suspensionen von Micrococcus lysodeikticus lysierten, und prägte den Begriff „Lysozym“ für das diffundierende bakteriolytische Prinzip. 1965 lösten David Chilton Phillips und Mitarbeiter die dreidimensionale Struktur von Hühnereiweiß-Lysozym (HEWL) mit einer Auflösung von 2 Å, wobei sie ein kompaktes 129-Aminosäuren, ca. 14,7 kDa großes α/β-Protein mit fünf α-Helices und einem dreisträngigen antiparallelen β-Faltblatt aufzeigten. Das Enzym faltet sich zu einer nierenförmigen Kugel mit einer markanten, 25 Å langen aktiven Spalte, die sechs aufeinanderfolgende N-Acetyl-Hexosamin-Reste des bakteriellen Peptidoglycans (PG) aufnehmen kann.

Structure of hen egg white lysozyme.Abbildung 1. Hühnereiweiß-Lysozym (HEWL). N-Terminus und C-Terminus sind markiert. Die im Text diskutierten aromatischen Reste sind hervorgehoben: Phe (rot), Tyr (grün), Trp (blau). Unter den Cysteinresten (gelb) bilden sich Disulfidbrücken. Tyr53, Trp62, Trp63 und Trp108 befinden sich im aktiven Zentrum des Enzyms. (Mangialardo et al., 2012)

Physikochemische Eigenschaften und Stabilität

Lysozym ist bemerkenswert stabil: Es behält seine Aktivität nach längerer Lagerung im Trockenzustand, widersteht der peptischen Verdauung und funktioniert optimal im pH-Bereich von 6,0 bis 7,0. Die Aktivität steigt mit der Temperatur bis etwa 60 °C, nimmt aber oberhalb von 65 °C rasch ab. Die Hydrochlorid-Salzform, Lysozymhydrochlorid, weist in pharmazeutischen und Lebensmittel-Formulierungen eine verbesserte Wasserlöslichkeit und Haltbarkeit auf.

Substratspezifität

Die kanonischen Substrate sind die alternierenden N-Acetylmuraminsäure- (NAM) und N-Acetyl-D-glucosamin- (NAG) Reste, die über β-(1→4)-glykosidische Bindungen im Glykanrückgrat des bakteriellen PG verbunden sind. Lysozym hydrolysiert auch Chitodextrine, die aus β-(1→4)-verknüpften NAG-Einheiten bestehen.

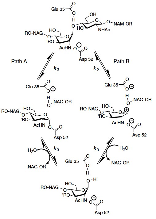
Katalytischer Mechanismus: Eine molekulare Analyse

Substratbindung und -verzerrung

Lysozym erkennt ein Hexasaccharid-Motiv innerhalb des PG-Strangs. Der D-Zucker an der –1-Substelle wird in eine Halbsessel-Konformation gezwungen, die der Übergangszustandsgeometrie nahekommt und die Aktivierungsenergiebarriere senkt.

Säure-Base-Katalyse

Zwei unveränderliche Carboxylate steuern die Hydrolyse:

Kinetische Isotopeneffekt-Studien und Elektrospray-Massenspektrometrie stützen sowohl ionische als auch kovalente Reaktionswege, wobei letzterer bei modifizierten Substraten bevorzugt wird.

Two possible catalytic mechanisms for HEWL: the Koshland mechanism and the Phillips mechanism.Abbildung 2. Zwei mögliche katalytische Mechanismen für HEWL. Weg A: Koshland-Mechanismus; Weg B: Phillips-Mechanismus. R, Oligosaccharidkette; R9, Peptidylseitenkette. (Vocadlo et al., 2001)

Produktfreisetzung und Enzymumsatz

Die Hydrolyse erzeugt kürzere Muropeptide, schwächt das PG-Netzwerk und führt zur osmotischen Lyse des Bakteriums.

Antimikrobielles Spektrum und Einschränkungen

Grampositive Bakterien

Lysozym zeigt ausgeprägte Aktivität gegen grampositive Bakterien, zu denen Gattungen wie Staphylococcus, Streptococcus, Bacillus und Listeria gehören. Diese Organismen besitzen eine dicke, mehrschichtige Peptidoglycanschicht, die direkt der extrazellulären Umgebung ausgesetzt ist und somit für die katalytische Wirkung des Lysozyms leicht zugänglich ist.

Durch die enzymatische Spaltung der β(1-4)-Bindungen wird die strukturelle Integrität der bakteriellen Zellwand beeinträchtigt, was zu einem osmotischen Ungleichgewicht und schließlich zur Lyse der Zelle führt. Die Wirkung von Lysozym ist besonders während der logarithmischen Wachstumsphase der Bakterien effektiv, wenn die Zellwand umgebaut wird und die Peptidoglycanmatrix anfälliger für enzymatischen Angriff ist.

Die Wirksamkeit von Lysozym gegen grampositive Organismen bildet die Grundlage für seinen Einsatz in topischen Antiseptika, ophthalmologischen Lösungen und Konservierungsformulierungen in der Lebensmittelindustrie.

Gramnegative Bakterien

Im Gegensatz dazu sind gramnegative Bakterien wie Escherichia coli, Pseudomonas aeruginosa und Salmonella spp. von Natur aus widerstandsfähiger gegen Lysozym. Diese Resistenz beruht hauptsächlich auf einer äußeren Membran (OM), die die dünne Peptidoglycanschicht überlagert und als wirksame Barriere fungiert. Die OM enthält Lipopolysaccharide (LPS), Porine und Membranproteine, die das darunterliegende Peptidoglycan vor enzymatischem Abbau schützen.

Es wurden jedoch verschiedene Strategien entwickelt, um diese Barriere zu überwinden und gramnegative Bakterien für Lysozym zu sensibilisieren:

Trotz dieser Fortschritte bleibt der Einsatz von Lysozym gegen gramnegative Bakterien komplexer und erfordert in der Regel kombinierte Ansätze, um signifikante antimikrobielle Ergebnisse zu erzielen.

Antimicrobial effect of lysozyme.Abbildung 3. REM-Bilder von S. aureus und E. coli nach Exposition mit Puffer (Tris-HCl, pH 7,2, Kontrolle), HEWL-Fibril, HEWL-Oligomer und HEWL nach 6 h. Maßstabsbalken, 2 μm. (Nawaz et al., 2022)

Pilze und Viren

Obwohl sie nicht die primären Ziele sind, zeigt Lysozym eine begrenzte antifungale und antivirale Aktivität durch Mechanismen, die sich von der Peptidoglycan-Hydrolyse unterscheiden:

Diese Effekte werden weiterhin untersucht und sind zwar weniger ausgeprägt als die antibakterielle Wirkung von Lysozym, stellen aber ein wachsendes Forschungsfeld mit therapeutischem Potenzial dar.

Nicht-enzymatische antimikrobielle Wirkungen

Neben seiner katalytischen Rolle zeigt Lysozym nicht-enzymatische bakterizide Eigenschaften und erweitert damit sein antimikrobielles Repertoire:

Breitbandanwendungen

Therapeutika und Pharmazeutika

Das therapeutische Potenzial von Lysozym erstreckt sich über zahlreiche Bereiche, entweder als Einzelwirkstoff oder in Synergie mit anderen Bioaktiva.

Lebensmittelindustrie

Biotechnologie und Molekularbiologie

Veterinär- und Landwirtschaftliche Nutzung

Sowohl in der Aquakultur als auch in der landwirtschaftlichen Tierhaltung unterstützt Lysozym die Tiergesundheit und Produktivität, indem es die mikrobielle Belastung ohne den Einsatz von Antibiotika reduziert.

Diagnostik und Biosensoren

Die Spezifität und katalytische Wirkung von Lysozym werden kreativ in schnellen Diagnosetechnologien genutzt.

Diese Sensoren werden zunehmend in ressourcenarmen Umgebungen eingesetzt, da sie kostengünstig, tragbar und schnell sind und eine Rolle in der Point-of-Care-Diagnostik, Ausbruchüberwachung und industriellen Qualitätskontrolle spielen.

Immunmodulatorische und entzündungshemmende Rollen

Die biologischen Funktionen von Lysozym gehen weit über seine bekannte bakteriolytische Aktivität hinaus. Zunehmende Evidenz belegt seine Rolle als multifunktionaler Immunmodulator, der sowohl angeborene als auch adaptive Immunantworten beeinflussen und vor entzündungsbedingten Gewebeschäden schützen kann.

Zusammen positionieren diese immunologischen Funktionen Lysozym nicht nur als antimikrobiellen Effektormolekül, sondern als Brücke zwischen mikrobieller Erkennung und Immunhomöostase mit vielversprechenden Implikationen für die Behandlung von Autoimmunerkrankungen, chronischen Entzündungen und Schleimhautimmunstörungen.

Protein-Engineering und Next-Generation-Lysozyme

Durch Fortschritte im Protein-Engineering wurde Lysozym zu einer neuen Generation von Designer-Enzymen weiterentwickelt, die auf verbesserte Funktionalität, erweitertes Zielspektrum und optimierte Pharmakokinetik zugeschnitten sind. Zwei Hauptstrategien—gerichtete Evolution und rationale Konstruktion—haben eine wachsende Bibliothek von Lysozym-Varianten hervorgebracht, die für vielfältige Anwendungen optimiert sind.

Diese bioengineerten Varianten verdeutlichen die Vielseitigkeit von Lysozym als anpassbare therapeutische Plattform und eröffnen Wege für den Einsatz in Präzisionsmedizin, Nanomedizin und Next-Generation-Antimikrobielltherapien. Mit fortschreitender Forschung könnte sich Lysozym von einem natürlich vorkommenden Enzym zu einer maßgeschneiderten molekularen Waffe gegen eine zunehmend resistente mikrobielle Welt entwickeln.

Empfohlene Produkte

Katalog Produktname Quelle Preis
NATE-4728 Lysozym aus Hühnereiweiß Hühnereiweiß Anfrage
NATE-0433 Natives menschliches Lysozym Menschliche Neutrophile
CEFX-025 Menschliches Sputum-Lysozym (sterilisiert) Leukozyten in septischem menschlichem Sputum
NATE-0432 Lysozym (Lebensmittelqualität) Hühnereiweiß
NATE-0434 Lysozym aus Mensch, rekombinant Reis
NATE-1455 Lysozym 23A aus Bacillus subtilis, rekombinant E. coli
NATE-1456 Lysozym 25A aus Streptococcus pneumoniae, rekombinant E. coli

Zusammenfassend verkörpert Lysozym die Genialität der Natur in der Wirtsabwehr: ein einziges, kleines Enzym, das eine einzige glykosidische Bindung spaltet und dennoch tiefgreifende und vielfältige Effekte ausübt. Von seiner historischen Entdeckung in Flemings Labor bis zu seiner heutigen Rolle als Eckpfeiler antimikrobieller Therapeutika, Lebensmittelkonservierung und Biotechnologie inspiriert Lysozym weiterhin Innovationen. Laufende Fortschritte im Protein-Engineering, in der Nanotechnologie und Systembiologie versprechen noch breitere Anwendungen und festigen den Status von Lysozym als beispielhaftes breitbandiges Bioprotektivum.

Bei Creative Enzymes liefern wir hochwertige Lysozym-Produkte für Forschung, Therapie und industrielle Anwendungen. Geschätzt für ihre Reinheit und Leistung, unterstützen unsere Lysozyme Innovationen in verschiedensten Bereichen. Entdecken Sie noch heute unser Lysozym-Portfolio, um Ihren nächsten Durchbruch zu beschleunigen. Kontaktieren Sie unser Team – wir helfen Ihnen gerne weiter.

Referenzen:

  1. Mangialardo S, Gontrani L, Leonelli F, Caminiti R, Postorino P. Role of ionic liquids in protein refolding: native/fibrillar versus treated lysozyme. RSC Adv. 2012;2(32):12329. doi:10.1039/c2ra21593d
  2. Nawaz N, Wen S, Wang F, et al. Lysozyme and its application as antibacterial agent in food industry. Molecules. 2022;27(19):6305. doi:10.3390/molecules27196305
  3. Sarkar S, Gulati K, Mishra A, Poluri KM. Protein nanocomposites: Special inferences to lysozyme based nanomaterials. International Journal of Biological Macromolecules. 2020;151:467-482. doi:10.1016/j.ijbiomac.2020.02.179
  4. Vocadlo DJ, Davies GJ, Laine R, Withers SG. Catalysis by hen egg-white lysozyme proceeds via a covalent intermediate. Nature. 2001;412(6849):835-838. doi:10.1038/35090602