Ressource

Umfassende Technologiedaten

Das molekulare Wunder des Lysozyms: Struktur und Bedeutung

Lysozym—auch bekannt als N-Acetyl-Muramidase oder Muramidase—ist ein archetypisches Beispiel für ein antimikrobielles Enzym mit tiefgreifender struktureller und mechanistischer Bedeutung. Alexander Fleming entdeckte Lysozym im Jahr 1921, und es wurde erstmals in den 1960er Jahren mittels Röntgenkristallographie charakterisiert (Phillips, 1965). Lysozym war das erste Enzym, dessen dreidimensionale Struktur durch Röntgenbeugung aufgeklärt wurde. Aufgrund seiner Struktur, seines katalytischen Mechanismus und seiner Stabilität ist Lysozym zu einem kanonischen Modell in der Enzymologie und Strukturbiologie geworden.

Bei Creative Enzymes bieten wir eine vielfältige Auswahl an hochwertigen Lysozym-Produkten, die für verschiedene Anwendungen maßgeschneidert sind. Entdecken Sie in diesem Artikel mehr über die molekulare Architektur von Lysozym und seine Bedeutung.

Primär- und Tertiärstruktur

Primärsequenz und Disulfidarchitektur

Die am häufigsten untersuchte Form, das Hühnereiweiß-Lysozym (HEWL), besteht aus 129 Aminosäuren und hat ein Molekulargewicht von etwa 14,3 kDa. Es enthält sechs Tryptophan- (Trp), drei Tyrosin- (Tyr) und drei Phenylalanin- (Phe) Reste. Die vier Disulfidbrücken—zwischen Cys6-Cys127, Cys30-Cys115, Cys64-Cys80 und Cys76-Cys94—erzwingen eine kompakte und starre tertiäre Faltung.

Faltarchitektur

Lysozym nimmt eine kompakte, globuläre Faltung ein, die aus zwei Domänen besteht:

Diese Domänen bilden eine tiefe katalytische Spalte, die Peptidoglykan-Ketten aufnimmt und mit sechs Kohlenhydrat-Bindungsstellen (A-F) ausgekleidet ist. Das Enzym ist stark kationisch (Isoelektrischer Punkt ~11,3 für HEWL), was eine starke elektrostatische Anziehung zu bakteriellen Oberflächen unter physiologischem pH-Wert begünstigt.

Primärsequenz und Faltarchitektur von Lysozym.Abbildung 1. Entfaltetes Lysozym und gefaltetes Lysozym. (Dilip et al., 2022)

Katalytischer Mechanismus

Im Zentrum der antimikrobiellen Funktion von Lysozym steht seine Fähigkeit, die Hydrolyse von glykosidischen Bindungen innerhalb des bakteriellen Zellwand-Peptidoglykans zu katalysieren. Speziell zielt Lysozym auf die β-1,4-glykosidische Bindung zwischen N-Acetylmuraminsäure (NAM) und N-Acetylglucosamin (NAG) ab, die die sich wiederholenden Zuckerbausteine darstellen, die für die Integrität der bakteriellen Zellwand entscheidend sind. Durch das Spalten dieser Bindung beeinträchtigt Lysozym die strukturelle Stabilität der bakteriellen Zellwand, was letztlich zur Zelllyse führt. Diese Aktivität ist für seine Abwehrfunktion in der angeborenen Immunität vieler Organismen essenziell.

Zentrale aktive Aminosäurereste

Die enzymatische Aktivität von Lysozym wird durch zwei essentielle katalytische Reste in seinem aktiven Zentrum vermittelt: Glutaminsäure 35 (Glu35) und Asparaginsäure 52 (Asp52). Glu35 wirkt als allgemeine Säure und spendet ein Proton, um die Abspaltung der Abgangsgruppe während der Bindungsspaltung zu erleichtern. Asp52 fungiert als Nukleophil, stabilisiert den oxocarbeniumionen-ähnlichen Übergangszustand oder bildet ein vorübergehendes kovalentes Zwischenprodukt. Das Substrat bindet an sechs klar definierte Bindungsstellen, bezeichnet mit A bis F, wobei das NAM-Fragment typischerweise an Bindungsstelle B und das NAG-Fragment an Bindungsstelle A bindet—diese Orientierung richtet die spaltbare Bindung präzise für den katalytischen Angriff aus.

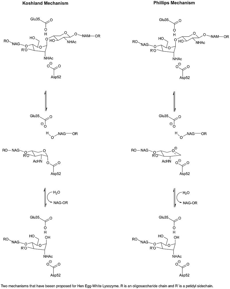
Reaktionsweg

Für Lysozym werden zwei weithin diskutierte Mechanismen vorgeschlagen: der Koshland-Mechanismus und der Phillips-Mechanismus.

Der Koshland-Mechanismus schlägt einen doppelten Displacement-Weg mit Retention vor. In diesem Modell wirkt Glu35 als Protonendonator, um die Spaltung der glykosidischen Bindung zu erleichtern, während Asp52 einen nukleophilen Angriff auf das anomere Kohlenstoffatom ausführt und ein kovalentes Glycosyl-Enzym-Zwischenprodukt bildet. Anschließend hydrolysiert ein Wassermolekül dieses Zwischenprodukt, stellt das Enzym wieder her und erhält die Konfiguration des Zuckers.

Im Gegensatz dazu schlägt der Phillips-Mechanismus einen einstufigen, SN1-ähnlichen Prozess vor. Hier wird die glykosidische Bindung gespalten, um einen oxocarbeniumionen-ähnlichen Übergangszustand zu erzeugen. Asp52 stabilisiert diese positive Ladung, während Glu35 ein Proton spendet, um die Bindungsspaltung zu unterstützen. Ein Wassermolekül wirkt dann als Nukleophil, um die Reaktion abzuschließen.

Obwohl beide Mechanismen Einblicke in die katalytische Funktion von Lysozym bieten, hat experimentelle Evidenz wie der Nachweis kovalenter Zwischenprodukte dem Koshland-Mechanismus größere Unterstützung verschafft.

Zwei mögliche Mechanismen von Lysozym: der Koshland-Mechanismus und der Phillips-Mechanismus.Abbildung 2. Zwei mögliche Mechanismen von Lysozym.

Substraterkennung

Eine effektive Katalyse durch Lysozym hängt nicht nur von der Chemie des aktiven Zentrums ab, sondern auch von der präzisen Erkennung und Positionierung des Substrats. Dies wird durch mehrere nicht-kovalente Wechselwirkungen erreicht, darunter Wasserstoffbrücken und hydrophobe Stapelungen, an denen Reste wie Trp62, Trp63, Asp101 und andere beteiligt sind. Diese Reste helfen, die Peptidoglykan-Kette in der aktiven Spalte zu verankern. Chemische Modifikationen des Peptidoglykans—wie O-Acetylierung von NAM oder N-Deacetylierung von NAG—können jedoch diese Wechselwirkungen behindern. Solche Modifikationen werden von Bakterien wie Staphylococcus aureus genutzt, um einem Lysozym-Angriff zu entgehen, was eine bedeutende Form der Resistenz darstellt.

Strukturelle Vielfalt und Evolution

Lysozym-Familien

Lysozyme sind eine strukturell und funktionell vielfältige Gruppe von Enzymen, die in einer Vielzahl von Organismen vorkommen. Basierend auf Sequenzhomologie, Faltmustern und katalytischen Mechanismen werden Lysozyme in mehrere Familien eingeteilt:

Phylogenetische Analyse von Lysozymen. Es gibt drei Hauptfamilien: C-Typ, G-Typ und I-Typ Lysozyme.Abbildung 3. Phylogenetische Analyse von Lysozymen. Die Namen der in der Analyse verwendeten Lysozym-Gene wurden als wissenschaftlicher Name der Art gefolgt von der GenBank-Zugangsnummer dieses spezifischen Gens angegeben. Die Ostrinia-Lysozyme sind rot markiert. Die Äste, die spezifisch für wirbellose c-Typ-, wirbeltier-c-Typ-, i-Typ- und g-Typ-Lysozyme sind, sind gelb, blau, grün bzw. orange schattiert. (Liu et al., 2014)

Evolutionäre Konservierung und Divergenz

Trotz der Divergenz zwischen den Taxa bleibt die zentrale katalytische Architektur—insbesondere die α/β-Faltung und die aktiven Reste—konserviert, was auf die uralte Rolle des Lysozyms in der angeborenen Immunität hinweist. Dennoch modulieren Sequenzvariationen in Oberflächenschleifen die Substratpräferenz, Stabilität und nichtkanonische Funktionen.

Stabilität, Faltung und biophysikalische Eigenschaften

Funktionelle Rollen in der Wirtsabwehr

Antimikrobielle Aktivität

Lysozym spielt eine zentrale Rolle im angeborenen Immunsystem, indem es bakteriolytische Aktivität ausübt, hauptsächlich gegen grampositive Bakterien. Diese Organismen besitzen eine exponierte und dicke Peptidoglykanschicht, die für die enzymatische Aktivität von Lysozym leicht zugänglich ist. Im Gegensatz dazu verfügen gramnegative Bakterien über eine zusätzliche äußere Membran, die die Peptidoglykanschicht abschirmt und sie im Allgemeinen widerstandsfähiger gegen Lysozym macht, es sei denn, die äußere Barriere wird durch Detergenzien, antimikrobielle Peptide oder wirtsabgeleitete Faktoren kompromittiert. Wichtig ist, dass die antimikrobielle Wirkung von Lysozym nicht ausschließlich von seiner enzymatischen Spaltung der β-1,4-glykosidischen Bindung im Peptidoglykan abhängt. Selbst wenn die katalytische Aktivität vermindert oder gehemmt ist, behält Lysozym bakterizide Eigenschaften durch alternative Mechanismen, wie elektrostatische Wechselwirkungen mit negativ geladenen bakteriellen Oberflächen und die Induktion bakterieller Autolysine, Enzyme, die zur Selbstverdauung der bakteriellen Zellwand führen.

Immunmodulatorische Interaktionen

Neben seiner direkten antimikrobiellen Rolle trägt Lysozym wesentlich zur Immunmodulation bei. Der enzymatische Abbau von bakteriellen Peptidoglykanen durch Lysozym führt zur Freisetzung von Muropeptiden, kleinen Fragmenten, die von intrazellulären Mustererkennungsrezeptoren (PRRs), insbesondere NOD1 und NOD2 (nucleotide-binding oligomerization domain-containing proteins), erkannt werden. Diese Rezeptoren initiieren Signalkaskaden, die proinflammatorische Reaktionen, Zytokinproduktion und die Rekrutierung von Immunzellen fördern und so die Abwehr des Wirts gegen Infektionen verstärken. Darüber hinaus wurde gezeigt, dass Lysozym die Verarbeitung und Präsentation bakterieller Antigene erleichtert, insbesondere in Schleimhautgeweben, wo es eine ausgewogene Immunantwort orchestriert, die Entzündungen ohne übermäßige Gewebeschädigung auflöst. Diese immunmodulatorische Funktion ist entscheidend für die Aufrechterhaltung der Schleimhauthomöostase, insbesondere in Umgebungen wie dem Magen-Darm- und Atemtrakt.

Lektin-ähnliche Bindung

Über seine enzymatische und immunologische Signalfunktion hinaus zeigt Lysozym ein lektin-ähnliches Verhalten, das es ihm ermöglicht, direkt an bakterielle Oberflächenkohlenhydrate wie Lipopolysaccharide (LPS) und Kapselpolysaccharide zu binden, selbst in Abwesenheit enzymatischer Aktivität. Diese nichtkatalytische Bindung erleichtert die Agglutination von Bakterien, fördert die Immunerkennung und verstärkt die Phagozytose durch Immunzellen des Wirts. Diese Aktivität ist besonders wichtig, wenn Pathogene Mechanismen entwickeln, um die katalytische Funktion von Lysozym zu hemmen, da die lektin-ähnliche Bindung eine sekundäre Verteidigungslinie bietet.

Struktur-Funktions-Beziehungen

Zusammenfassend bleibt Lysozym ein molekulares Wunder: ein bescheiden großes Enzym, dessen strukturelle Eleganz vielfältige biologische Funktionen ermöglicht—von der Spaltung bakterieller Zellwände bis zur Feinabstimmung von Immunantworten. Es ist ein Grundpfeiler der Enzymologie, Strukturbiologie, Immunologie und Biotechnologie.

Bei Creative Enzymes bieten wir hochwertige Lysozym-Produkte an, die den höchsten Anforderungen in Forschung und Industrie gerecht werden. Kontaktieren Sie uns noch heute, um das optimale Lysozym für Ihre Bedürfnisse zu finden.

Referenzen:

  1. Dilip Varma P, Deoprasad Shahu Y, Yende S, et al. A brief review on lysozyme's pharmacology and drug-carrying capacity. RJPT. Published online December 24, 2022:5886-5894. doi:10.52711/0974-360X.2022.00993
  2. Liu Y, Shen D, Zhou F, Wang G, An C. Correction: identification of immunity-related genes in Ostrinia furnacalis against entomopathogenic fungi by RNA-seq analysis. Wang XW, ed. PLoS ONE. 2014;9(1). doi:10.1371/annotation/755a38b9-ccc1-4042-baa2-1249c9da8670
  3. Wu T, Jiang Q, Wu D, et al. What is new in lysozyme research and its application in food industry? A review. Food Chemistry. 2019;274:698-709. doi:10.1016/j.foodchem.2018.09.017