Ressource

Umfassende Technologiedaten

Die Wunder des Lysozyms: Ein natürliches antimikrobielles Kraftpaket

Lysozym ist ein natürlich vorkommendes Enzym, das eine entscheidende Rolle in den Abwehrmechanismen des Körpers gegen mikrobielle Infektionen spielt. Oft als eines der effizientesten antimikrobiellen Mittel der Natur beschrieben, kommt Lysozym in verschiedenen Körperflüssigkeiten wie Speichel, Tränen, Schleim und menschlicher Milch vor. Seine Funktion als erste Verteidigungslinie gegen bakterielle Krankheitserreger hat es sowohl in der Grundlagen- als auch in der angewandten Mikrobiologie sowie in pharmazeutischen und biotechnologischen Anwendungen zu einem interessanten Forschungsobjekt gemacht.

Creative Enzymes ist ein weltweit führender Anbieter von Enzymen, einschließlich hochwertiger Lysozyme. In diesem Artikel werden wir die wissenschaftlichen Eigenschaften von Lysozym, seine Wirkungsweise, seine Rolle für die menschliche Gesundheit und seine potenziellen therapeutischen Anwendungen untersuchen.

Structure of lysozyme C.Abbildung 1. Lysozym C (Gallus gallus).

Die Biochemie des Lysozyms

Lysozym ist ein Enzym aus der Klasse der Hydrolasen, genauer gesagt der Glycosidhydrolasen, die die Hydrolyse von glykosidischen Bindungen katalysieren. Es handelt sich um ein relativ kleines Protein mit einer Größe von etwa 14,5 kDa und besteht aus einer einzelnen Polypeptidkette, die zu einer kompakten Struktur gefaltet ist. Es wurde erstmals 1922 von Alexander Fleming entdeckt, demselben Wissenschaftler, der auch für die Entdeckung des Penicillins bekannt ist. Allerdings wurde die antimikrobielle Wirkung von Lysozym bereits festgestellt, lange bevor Antibiotika weit verbreitet waren.

Das Enzym wirkt hauptsächlich, indem es die Zellwand bestimmter Bakterien abbaut. Die bakterielle Zellwand besteht aus Peptidoglycan, einem Polymer aus Zuckerketten, die durch kurze Peptide quervernetzt sind. Lysozym spaltet die β-1,4-glykosidischen Bindungen zwischen den Zuckerbausteinen des Peptidoglycans, wodurch die bakterielle Zellwand geschwächt wird und es zur osmotischen Lyse kommt – einem Prozess, bei dem die Bakterienzelle aufgrund eines osmotischen Ungleichgewichts platzt. Dies macht Lysozym besonders wirksam gegen grampositive Bakterien, die eine dicke Peptidoglycanschicht besitzen, es kann jedoch unter bestimmten Bedingungen auch auf einige gramnegative Bakterien wirken.

Reaction catalyzed by lysozyme.Abbildung 2. Übersicht der durch Lysozym katalysierten Reaktion.

Quellen von Lysozym

Lysozym ist in verschiedenen biologischen Flüssigkeiten vorhanden, was seine wesentliche Rolle in der Immunabwehr unterstreicht. Zu den wichtigsten Quellen gehören:

Neben seiner Präsenz im menschlichen Körper findet sich Lysozym auch in anderen Organismen, darunter Tiere, Pflanzen und einige Bakterien. Zum Beispiel ist Hühnereiweiß eine der reichsten natürlichen Quellen für Lysozym; das Enzym macht etwa 3,5 % des gesamten Proteingehalts aus. → Lysozym aus Hühnereiweiß

The most studied lysozymes are hen egg white lysozyme and human lysozyme.Abbildung 3. Humanes Lysozym und HEWL sind die bekanntesten und am besten charakterisierten c-Typ-Lysozyme. (Kristallstruktur von Hühnereiweiß-Lysozym: 5B1F; Kristallstruktur von humanem Lysozym: 7XF6.) (Bergamo und Sava, 2024)

Mechanismus der antimikrobiellen Wirkung

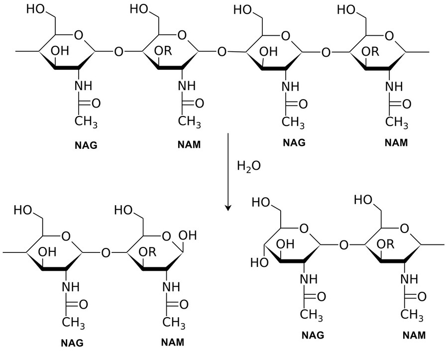
Der primäre antimikrobielle Mechanismus von Lysozym beruht auf seiner Fähigkeit, die β-1,4-glykosidische Bindung zwischen N-Acetylmuraminsäure (NAM) und N-Acetylglucosamin (NAG) zu hydrolysieren, die die Hauptbausteine der Peptidoglycanschicht in bakteriellen Zellwänden sind. Durch das Spalten dieser Bindung zerstört Lysozym die strukturelle Integrität der bakteriellen Zellwand und macht die Bakterien anfälliger für äußere Einflüsse, einschließlich osmotischer Druckveränderungen. Dies führt zum Platzen der Zelle und schließlich zum Tod, insbesondere bei grampositiven Bakterien, bei denen die Peptidoglycanschicht dick und für die Zellstabilität entscheidend ist.

Die Wirkung von Lysozym beschränkt sich jedoch nicht nur auf den Abbau der Zellwand. Es kann auch das bakterielle Verhalten beeinflussen durch:

Darüber hinaus deuten einige Studien darauf hin, dass Lysozym zusätzliche antimikrobielle Wirkmechanismen besitzen könnte, wie z. B. die Zerstörung bakterieller Biofilme. Biofilme sind Ansammlungen von Bakterien, die in eine schützende extrazelluläre Matrix eingebettet sind und dadurch gegen viele herkömmliche Antibiotika resistent werden. Die Fähigkeit von Lysozym, Bestandteile der Biofilm-Matrix abzubauen, verleiht ihm ein potenzielles Einsatzgebiet bei der Behandlung chronischer Infektionen, die mit Biofilmbildung einhergehen, wie sie beispielsweise bei Mukoviszidose, chronischen Wunden und implantatassoziierten Infektionen auftreten.

Antibacterial mechanisms of lysozyme.Abbildung 4. Lysozym wirkt antibakteriell über diese zwei Mechanismen. Das Peptidoglycan(PG)-Gerüst der bakteriellen Zellwand ist durch NAG und NAM über Peptidstämme verbunden und wird dann über einen Lipidträger an der Zellmembran (lila) verankert. Lysozym (goldgelb) hydrolysiert die Verbindung zwischen NAG und NAM an den PG-β-1,4-glykosidischen Bindungen, was zur Instabilität der bakteriellen Zellwand und zum Tod der Bakterien führt. Zweitens kann Lysozym (goldgelb) durch seinen eigenen kationischen Mechanismus Poren in der negativ geladenen Zellmembran bilden, um eine Sterilisation zu erreichen. (Jiang et al., 2021)

Rolle von Lysozym für die menschliche Gesundheit

Lysozym ist eine der ersten Verteidigungslinien gegen eindringende Krankheitserreger, und seine Präsenz in verschiedenen Körperflüssigkeiten unterstreicht seine Bedeutung für die Aufrechterhaltung der Homöostase und die Verhinderung von Infektionen. Hier sind einige der wichtigsten Rollen, die Lysozym für die menschliche Gesundheit spielt:

Roles of lysozyme: anti-inflammatory, antibacterial, and antioxidant.Abbildung 5. Vielfältige Rollen von Lysozym. (Adaptiert nach Zhang et al., 2024)

Klinische und pharmazeutische Anwendungen von Lysozym

Aufgrund seiner starken antimikrobiellen Eigenschaften findet Lysozym vielfältige Anwendungen im klinischen und pharmazeutischen Bereich. Dazu gehören:

Empfohlene Produkte

Katalog Produktname Quelle Preis
NATE-0433 Native Human Lysozyme Humanneutrophile Anfrage
CEFX-025 Human Sputum Lysozyme (Sterilized) Leukozyten im septischen menschlichen Sputum
NATE-0432 Lysozyme (Food Grade) Hühnereiweiß
NATE-0434 Lysozyme from Human, Recombinant Reis
NATE-4728 Lysozyme from Chicken Egg White Hühnereiweiß
NATE-4728-1 Lysozyme from Chicken Egg White (Free of DNA Contaminants) Hühnereiweiß
NATE-1455 Lysozyme 23A from Bacillus subtilis, Recombinant E. coli
NATE-1456 Lysozyme 25A from Streptococcus pneumoniae, Recombinant E. coli
EXWM-3852 Lysozyme /

Zusammenfassend ist Lysozym ein bemerkenswertes natürliches antimikrobielles Enzym, das eine unverzichtbare Rolle bei der Abwehr bakterieller Infektionen im Körper spielt. Seine Fähigkeit, bakterielle Zellwände gezielt abzubauen, zusammen mit seiner Präsenz in verschiedenen Körperflüssigkeiten, unterstreicht seine Bedeutung für die Gesundheit. Von seiner natürlichen Präsenz in menschlichem Speichel und Tränen bis hin zu Anwendungen in der Lebensmittelkonservierung und Wundversorgung bietet Lysozym eine Vielzahl von Vorteilen.

Da die antimikrobielle Resistenz weiter zunimmt, bietet die Erforschung von Lysozym als potenzielle Alternative zu herkömmlichen Antibiotika großes Potenzial. Auch wenn noch Herausforderungen bestehen, ist die Zukunft lysozymbasierter Therapien vielversprechend und bietet eine natürliche, nachhaltige Lösung zur Bekämpfung bakterieller Infektionen.

Bei Creative Enzymes bieten wir hochwertige Lysozym-Produkte, die für ihre Reinheit, Konsistenz und Leistung geschätzt werden. Ob für Forschung oder Anwendung – unser Lysozym unterstützt innovative, naturbasierte Lösungen im Kampf gegen bakterielle Infektionen. Kontaktieren Sie noch heute unser Team – wir helfen Ihnen gerne weiter.

Referenzen:

  1. Bergamo A, Sava G. Lysozyme: a natural product with multiple and useful antiviral properties. Molecules. 2024;29(3):652. doi:10.3390/molecules29030652
  2. Jiang L, Li Y, Wang L, et al. Recent insights into the prognostic and therapeutic applications of lysozymes. Front Pharmacol. 2021;12:767642. doi:10.3389/fphar.2021.767642
  3. Zhang Q, Zhao Y, Yao Y, et al. Characteristics of hen egg white lysozyme, strategies to break through antibacterial limitation, and its application in food preservation: A review. Food Research International. 2024;181:114114. doi:10.1016/j.foodres.2024.114114