Produkte

Enzyme für Forschung, Diagnostik und industrielle Anwendung

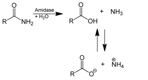
Amidase

Offizieller vollständiger Name
Amidase
Hintergrund
Die Amidase von Pseudomonas aeruginosa katalysiert die Hydrolyse einer kleinen Reihe von kurzen aliphatischen Amiden. Jedes Amidase-Monomer besteht aus einem globulären vierlagigen αββα-Sandwich-Domäne mit einem zusätzlichen 81 Aminosäuren langen C-terminalen Segment. Dieses Enzym gehört zur Familie der Hydrolasen, die an Kohlenstoff-Stickstoff-Bindungen wirken, die keine Peptidbindungen sind, insbesondere in linearen Amiden.
Synonyme
acylamidase; acylase (irreführend); amidohydrolase (mehrdeutig); deaminase (mehrdeutig); fettsäureacylamidase; N-acetylaminohydrolase (mehrdeutig); amidase; EC 3.5.1.4; acylamid amidohydrolase
Katalog Produktname EG-Nr. CAS-Nr. Quelle Preis
EXWM-4428 Amidase EC 3.5.1.4 9012-56-0 Anfrage
NATE-0809 Amidase von Pseudomonas aeruginosa, rekombinant EC 3.5.1.4 9012-56-0 E. coli Anfrage
Produkte
Online-Anfrage

Nur für Forschungs- und Industriezwecke. Nicht für den persönlichen Gebrauch bestimmt. Bestimmte Produkte in Lebensmittelqualität eignen sich für die Formulierungsentwicklung in Lebensmitteln und verwandten Anwendungen.