Dienstleistungen

Professionelle und kostensparende Lösungen

Downstream-Dienstleistungen für die gezielte Mutagenese

Kreative Enzyme bietet umfassend Downstream-Dienstleistungen für die zielgerichtete Mutagenese (SDM), um sicherzustellen, dass jede entwickelte Enzymvariante genau exprimiert, funktionell charakterisiert und strukturell validiert wird. Diese Dienstleistungen verwandeln erfolgreich mutierte DNA-Konstrukte in bedeutungsvolle biochemische Erkenntnisse, indem sie fortschrittliche Expressionssysteme, präzise Reinigungsstrategien und robuste Analysetechniken kombinieren. Ob das Ziel darin besteht, die enzymatische Aktivität zu überprüfen, katalytische Mechanismen zu erforschen oder strukturelle Veränderungen zu erhellen, Creative Enzymes bietet eine umfassende und zuverlässige Lösung, um die Lücke zwischen molekularer Modifikation und funktionaler Entdeckung zu schließen.

Einführung in die Downstream-Dienste für SDM

Standortgerichtete Mutagenese ermöglicht gezielte Modifikationen von Enzymsequenzen, um Struktur-Funktions-Beziehungen zu untersuchen oder die Leistung zu verbessern. Die Erstellung des Mutantenkonstrukts ist jedoch nur der Anfang – eine umfassende nachgelagerte Charakterisierung ist entscheidend, um zu bestätigen, dass die gewünschten Änderungen die beabsichtigten biochemischen Effekte haben.

Zuverlässige nachgelagerte Dienste stellen sicher, dass Mutationen korrekt exprimiert werden, funktionale Proteine erzeugt werden und aussagekräftige Daten zu Aktivität, Stabilität und Struktur produziert werden. Diese Schritte nach der Mutagenese sind entscheidend für die Validierung von Ingenieurergebnissen, das Verständnis mechanistischer Implikationen und die Anleitung weiterer Optimierungen.

Creative Enzymes bietet eine integrierte Suite von nachgelagerten Dienstleistungen, die nahtlos aus unserem oberhalb und Kernmutagenese Workflows, die ein vollständiges End-to-End ermöglichen Enzymtechnik Pipeline unter einem vertrauenswürdigen Anbieter.

Step-by-step site-directed mutagenesis enzyme engineering services at Creative Enzymes

SDM Downstream-Dienste

Unser Dienstleistungsportfolio im downstream-Bereich bietet die notwendige experimentelle Nachverfolgung nach erfolgreicher Mutagenese, um die Enzymleistung zu validieren und rationale Designentscheidungen zu unterstützen. Wir sind auf die vollständige Charakterisierung von gezielt mutierten Varianten in verschiedenen biologischen Systemen und funktionalen Tests spezialisiert.

Expression und Reinigung von Varianten der gerichteten Mutagenese

Unser Team entwickelt optimierte Expressionsstrategien für rekombinante mutierte Enzyme in verschiedenen Wirtsorganismen.E. coli, Hefen-, Insekten- oder Säugetiersysteme). Wir verwenden maßgeschneiderte Reinigungsabläufe – Affinitäts-, Ionenaustausch- und Größenausschlusschromatographie – um hochreine, funktionell aktive Proteine zu gewinnen, die für biochemische oder strukturelle Analysen geeignet sind.

Assays für die gerichtete Mutagenese
Varianten

Wir bieten eine quantitative Analyse der enzymatischen Leistung für jede mutierte Variante unter Verwendung einer Vielzahl von kinetischen und substratspezifischen Assays. Diese Assays bewerten die katalytische Effizienz, die Substrataffinität, die Stabilität und die Hemmungsmuster, um die funktionalen Konsequenzen der eingeführten Mutationen zu bewerten.

Strukturelle und mechanistische Analyse von varianten der gerichteten Mutagenese

Um die biochemische Bewertung zu ergänzen, bieten wir detaillierte strukturelle und mechanistische Studien durch fortschrittliche Analysetechniken an, einschließlich zirkulärer Dichroismus, Differential Scanning Calorimetry und molekularer Modellierung. Für tiefere mechanistische Einblicke führen wir auch computergestützte Analysen und Docking-Simulationen durch, um die Struktur mit den beobachteten Aktivitätsänderungen zu korrelieren.

Service-Workflow

Workflow of downstream services for site-directed mutagenesis

Kontaktieren Sie uns

Warum Sie sich für unsere Downstream-Dienstleistungen entscheiden sollten

Integrierter Workflow

Vollständige Kontinuität von der Mutagenese bis zur biochemischen und strukturellen Validierung.

Umfassende Charakterisierung

Funktionale, kinetische und strukturelle Bewertung aller Mutantenkonstrukte.

Fortgeschrittene Analysefähigkeiten

Zugang zu modernsten chromatographischen und spektroskopischen Instrumenten.

Experten für Biochemie und Strukturbiologie

Ein multidisziplinäres Team mit umfassender Erfahrung in den Beziehungen zwischen Enzymstruktur und -funktion.

Anpassbares Projektdesign

Maßgeschneiderte Dienstleistungen, die an akademische, pharmazeutische und industrielle Forschungsziele anpassbar sind.

Zuverlässige Qualität und Dokumentation

Jede Phase umfasst eine QC-Validierung und transparente Berichterstattung für Reproduzierbarkeit und Compliance.

Fallstudien und praktische Einblicke

Fall 1: Strukturelle und kinetische Einblicke in Penicillin-Acylase-Mutanten

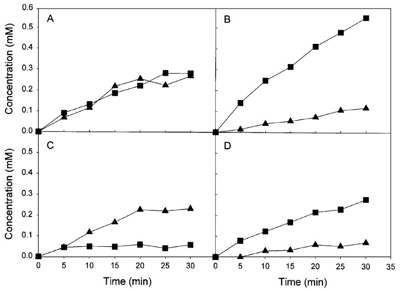
Der Bindungsmechanismus von Penicillin an Penicillin-Acylase wurde durch Röntgenkristallographie des inaktiven βN241A-Mutantenkomplexes mit Penicillin G aufgeklärt. Die Substratbindung löste konformationale Veränderungen aus, die die Rückstände αF146 und αR145 neu positionierten, um Penicillin G aufzunehmen. Die strukturelle Analyse offenbarte wichtige van-der-Waals- und Wasserstoffbindungsinteraktionen, die die β-Lactam-Bindungsstelle stabilisieren. Die zielgerichtete Mutagenese von αF146 (zu Y, A oder L) veränderte die Substrataffinität und die synthetische Fähigkeit erheblich: αF146Y verlor die synthetische Aktivität, während αF146A und αF146L eine 3- bis 5-fach niedrigere Substrataffinität, aber eine höhere Effizienz bei der Synthese von Penicillin G aufwiesen. Diese Ergebnisse heben die entscheidende Rolle von αF146 bei der Substraterkennung hervor und leiten zukünftige Enzymengineering-Ansätze für eine verbesserte katalytische Synthese.

Characterization of the β-lactam binding site of penicillin acylase of E. coli by structural and site-directed mutagenesis studiesAbbildung 1. Synthese von Penicillin G (■) und Bildung von Phenylessigsäure (▲) aus 15 mM Phenylacetamid und 25 mM 6-APA durch Wildtyp und αF146-Mutanten. (A) 10 nM Wildtyp; (B) 100 nM αF146L; (C) 10 nM αF146Y; (D) 500 nM αF146A. (Alkema u. a.., 2000)

Fall 2: Ingenieurmäßige Entwicklung thermostabiler und effizienter Glucoamylasen für die industrielle Saccharifizierung

Glucoamylase ist entscheidend für die Umwandlung von Stärke in Glukose, aber ihre geringe Thermostabilität und katalytische Effizienz schränken industrielle Anwendungen ein. In dieser Studie wurde ein Glucoamylase-Gen, TlGa15B, von Talaromyces leycettanus wurde kloniert und exprimiert in Pichia pastoris, die eine optimale Temperatur von 65 °C, einen pH-Wert von 4,5 und eine starke Thermostabilität bei 60 °C aufweisen. Zwei entwickelte Varianten, TlGa15B-GA1 und TlGa15B-GA2 wurden entworfen, indem Disulfidbrücken eingeführt und die Wechselwirkungen der Ladungen, die weit vom katalytischen Zentrum entfernt sind, optimiert wurden. Beide Mutanten zeigten eine erhöhte Schmelztemperatur, katalytische Effizienz und spezifische Aktivität, mit TlGa15B-GA2 zeigt eine vergleichbare Leistung zu kommerziellen Enzymen. Molekulardynamische Analysen enthüllten die strukturelle Grundlage für diese Verbesserungen und demonstrieren eine praktikable Strategie zur Steigerung der Enzymleistung bei der industriellen Stärkeverzuckerung.

Starch saccharification using TlGa15B-GA2 in combination with pullulanaseAbbildung 2. Vergleich der Stärkeverzuckerungseffekte zwischen TlGa15B-GA2 und die kommerzielle Glucoamylase GA-LD bei der Glukoseproduktion bei 60 °C. (Tong u. a.., 2021)

SDM Downstream-Dienste: Häufig gestellte Fragen

  • F: Können Sie sowohl Ausdrucks- als auch Aktivitätstests in einem Paket durchführen?

    A: Ja. Wir bieten kombinierte Servicepakete an, die Expression, Reinigung und Aktivitätsassays umfassen, um Konsistenz zu gewährleisten und Zeit im Arbeitsablauf zu sparen.
  • F: Welche Expressionssysteme unterstützen Sie?

    A: Wir arbeiten mit E. coli, Hefe-, Insekten- und Säugetiersysteme, wobei der optimale Wirt basierend auf den Enzymeigenschaften und den Projektzielen ausgewählt wird.
  • F: Wie bestätigen Sie die Reinheit und Identität von Proteinen?

    A: Jedes gereinigte Protein wird einer SDS-PAGE, UV-Spektroskopie und optional einem Western Blot unterzogen. Die Reinheit überschreitet typischerweise 90 %, was durch densitometrische Analyse verifiziert wird.
  • Q: Können Sie maßgeschneiderte Assays für nicht-standardisierte Enzyme entwickeln?

    A: Absolut. Unsere Biochemiker entwerfen und validieren maßgeschneiderte Aktivitätsassays für einzigartige Substrate oder Reaktionsbedingungen, die für Ihre Forschung relevant sind.
  • Q: Welche strukturellen Analyseverfahren stehen zur Verfügung?

    Wir bieten zirkuläre Dichroismus (CD), differentielle Scanning-Kalorimetrie (DSC), dynamische Lichtstreuung (DLS) und computergestützte Modellierung für detaillierte strukturelle Einblicke an.
  • Q: Wie werden die Projektergebnisse übermittelt?

    A: Kunden erhalten gereinigte Enzymproben, rohe und verarbeitete Prüfungsdaten, analytische Grafiken und detaillierte Berichte, die Ergebnisse, Interpretationen und Empfehlungen zusammenfassen.
  • Q: Ist Vertraulichkeit garantiert?

    A: Ja. Alle Kundendaten, Sequenzen und Ergebnisse sind durch strenge Vertraulichkeitsvereinbarungen geschützt. Die Kunden behalten das volle Eigentum an allen geistigen Eigentumsrechten.

Referenzen:

  1. Alkema WBL, Hensgens CMH, Kroezinga EH, u. a.Charakterisierung der β-Lactam-Bindungsstelle der Penicillin-Acylase von Escherichia coli durch strukturelle und standortgerichtete Mutagenesestudien. Protein-Engineering, Design und Auswahl2000;13(12):857-863. doi:10.1093/protein/13.12.857
  2. Tong L, Zheng J, Wang X, u. a.Verbesserung der Thermostabilität und katalytischen Effizienz von Glucoamylase aus Talaromyces leycettanus JCM12802 durch gezielte Mutagenese zur Verbesserung industrieller Saccharifizierungsanwendungen. Biotechnologie Biokraftstoffe. 2021;14(1):202. doi:10.1186/s13068-021-02052-3

Nur für Forschungs- und Industriezwecke. Nicht für den persönlichen Gebrauch bestimmt. Bestimmte Produkte in Lebensmittelqualität eignen sich für die Formulierungsentwicklung in Lebensmitteln und verwandten Anwendungen.

Dienstleistungen
Online-Anfrage

Nur für Forschungs- und Industriezwecke. Nicht für den persönlichen Gebrauch bestimmt. Bestimmte Produkte in Lebensmittelqualität eignen sich für die Formulierungsentwicklung in Lebensmitteln und verwandten Anwendungen.